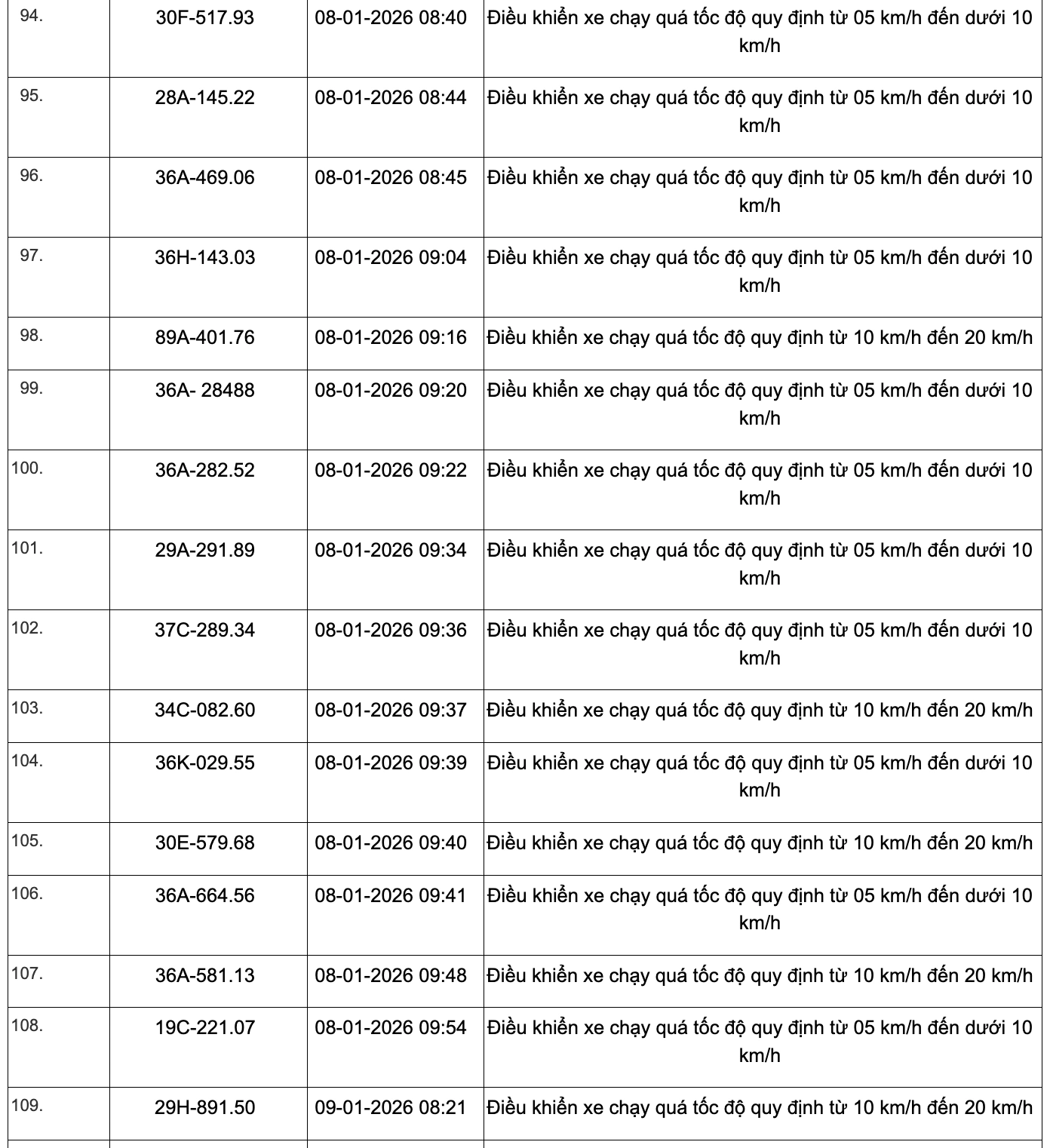
359 phương tiện vi phạm quy định về tốc độ trên các tuyến Quốc lộ
79 trường hợp vi phạm trên tuyến Quốc lộ 1

205 trường hợp vi phạm trên tuyến Quốc lộ 45

75 trường hợp vi phạm trên tuyến Quốc lộ 47B

Nguồn:https://baothanhhoa.vn/359-phuong-tien-vi-pham-quy-dinh-ve-toc-do-tren-cac-tuyen-quoc-lo-276667.htm?










